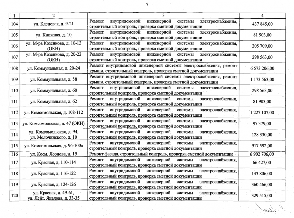
Власти Калининграда утвердили список адресов, где в 2019 году будет проведен капитальный ремонт по краткосрочному плану региональной программы капремонта. Постановление за подписью главы города Алексея Силанова опубликовано на сайте горадминистрации.
В документе указано, что речь идет о многоквартирных домах, собственники которых не приняли решение о проведении ремонта по предложению регионального оператора и сдают взносы в Фонд капремонта. В список вошли 223 дома. Среди видов работ — ремонт крыши, фасадов, замена внутридомовых сетей. Стоимость работ варьируется от 66 тыс. рублей до 14 млн рублей.














© 2003-2026